🧀 如何创建出一个Rc类型的reference 循环
reference cycle
rustlings到了 Rc<T> 这块, 就看了一下官方资料
看到
This function is named strong_count rather than count because the Rc
type also has a weak_count; we’ll see what weak_count is used for in the “Preventing Reference Cycles: Turning an Rc into a Weak ” section.
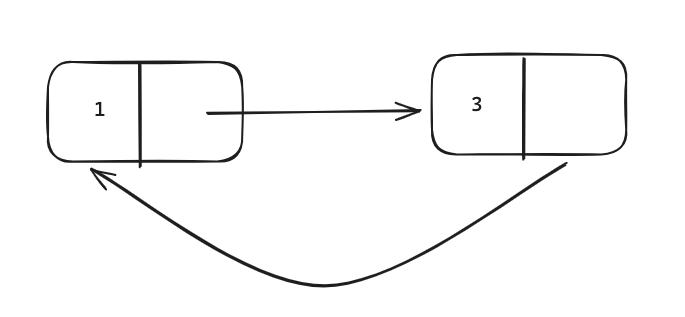
这里的时候,就像现在学到的,怎么去创建出一个引用循环?
要做的事就很简单,图一画,心想放马过来
但实际写了代码,感觉,把马牵走
首先这里定义
1
2
3
4
5
6
7
8
9
use std::rc::Rc;
enum List{
Cons(i32,Rc<List>),
Nil,
}
use List::{Cons,Nil};
我本想着先定义出一个a,然后再定义另外一个b,这时候b就链接到a,然后再让a链接到b
1
2
3
let a = Rc::new(Cons(3,Rc::new(Nil)));
let b = Rc::new(Cons(1,Rc::clone(&a)));
println!("{:?}",(*b).0);
关键就是怎么让 a 链接到 b???
(*a).1 = b 这样好像不行
这个是元组的访问语法,而 List是 enum 枚举
怎么修改 enum 的关联值?
比如
1
2
3
4
5
6
7
8
9
10
11
12
13
enum Message {
Quit,
Move { x: i32, y: i32 },
Write(String),
ChangeColor(i32, i32, i32),
}
fn main() {
let m1 = Message::Quit;
let m2 = Message::Move{x:1,y:1};
let m3 = Message::ChangeColor(255,255,0);
}
怎么修改 m2 从 Message::Move{x:1,y:1}到 比如 Message::Move{x:100,y:200}
这里只能通过 pattern match 才能接触到 enum 数据
1
2
3
4
5
6
7
8
9
10
11
12
13
14
15
16
17
18
19
20
21
#[derive(Debug)]
enum Message {
Quit,
Move { x: i32, y: i32 },
Write(String),
ChangeColor(i32, i32, i32),
}
let mut m2 = Message::Move{x:1,y:1};
match &mut m2 {
Message::Move { x, y } => {
*x = 100;
*y = 200;
}
_ => unreachable!(),
}
m2
再放马过来
1
2
3
4
5
6
7
8
9
10
11
12
13
14
15
16
17
18
19
20
#[derive(Debug)]
enum List{
Cons(i32,Rc<List>),
Nil,
}
use List::{Cons,Nil};
use std::rc::Rc;
fn main(){
let mut a = Rc::new(Cons(3,Rc::new(Nil)));
let b = Rc::new(Cons(1,Rc::clone(&a)));
println!("{:?}",(*b));
if let Cons(_val,refer) = &mut *a{
*refer = Rc::clone(&b);
}
println!("{:?}",*b);
}
好吧,这里还是不对,
1
2
3
4
5
error[E0596]: cannot borrow data in an `Rc` as mutable
--> src/main.rs:16:31
|
16 | if let Cons(_val,refer) = &mut *a{
| ^^^^^^^ cannot borrow as mutable
You aren’t allowed to modify things that are directly inside an Rc. But you can put a RefCell inside an Rc.
RefCell
如果一个值的类型是RefCell<T>,那么他能调用两个函数,borrow,borrow_mut,对应可以得到&,& mut类型
与编译器检查不同,它是在运行时去检查 borrowing rules。什么意思呢?
就是每调用一次 borrow 他就会计一下,不可变引用+1,
如果调用了 borrow_mut,他会检查现在不可变引用计数有没有,如果有,因为Rust的借用规则,会报错,此时会panic
而这一过程是在运行时通过代码逻辑去检查的,所以是运行时检查。同时也会损失一点性能,比较要有额外的检查开销
但是他能够方便的提供一些修改的便利性
这种能力也被叫做 interior mutability
official demo
1
2
3
4
5
6
7
8
9
10
11
12
13
14
15
16
17
18
19
20
21
22
23
24
#[derive(Debug)]
enum List {
Cons(Rc<RefCell<i32>>, Rc<List>),
Nil,
}
use crate::List::{Cons, Nil};
use std::cell::RefCell;
use std::rc::Rc;
fn main() {
let value = Rc::new(RefCell::new(5));
let a = Rc::new(Cons(Rc::clone(&value), Rc::new(Nil)));
let b = Cons(Rc::new(RefCell::new(3)), Rc::clone(&a));
let c = Cons(Rc::new(RefCell::new(4)), Rc::clone(&a));
*value.borrow_mut() += 10;
println!("a after = {:?}", a);
println!("b after = {:?}", b);
println!("c after = {:?}", c);
}
By using RefCell
, we have an outwardly immutable List value. But we can use the methods on RefCell that provide access to its interior mutability so we can modify our data when we need to
怎么理解这里的对外是不可变,但是对内可以使用 interior mutability 去修改值
如果是这么定义的
1
2
3
4
enum List{
Cons(RefCell<i32>,Rc<List>),
Nil,
}
那这么说可能有点问题,因为可以通过 模式匹配得到 RefCell<i32> 然后他可以得到可变引用,然后就可以修改了,这样外部也是可变的
但现在是这么定义的
1
2
3
4
enum List{
Cons(Rc<RefCell<i32>>,Rc<List>),
Nil,
}
加了一个 Rc<...>, 而Rc<T> only gives immutable access to that data.
但其实这里也可以通过 b 模式匹配 得到 a,然后 在模式匹配 调用borrow_mut 去改变值
1
2
3
4
5
6
7
8
9
10
11
12
13
14
15
16
17
18
19
20
21
22
23
24
25
26
27
28
29
30
31
32
33
34
35
36
37
#[derive(Debug)]
enum List {
Cons(Rc<RefCell<i32>>, Rc<List>),
Nil,
}
use crate::List::{Cons, Nil};
use std::cell::RefCell;
use std::rc::Rc;
fn main() {
let value = Rc::new(RefCell::new(5));
let a = Rc::new(Cons(Rc::clone(&value), Rc::new(Nil)));
let b = Cons(Rc::new(RefCell::new(3)), Rc::clone(&a));
let c = Cons(Rc::new(RefCell::new(4)), Rc::clone(&a));
//*value.borrow_mut() += 10;
println!("a = {:?}", a);
println!("b = {:?}", b);
println!("c = {:?}", c);
if let Cons(ref x,ref y) = b{ // y - &Rc<List>
if let Cons(ref x1,ref y1) = **y{
*x1.borrow_mut() += 10;
}
}
println!("a after = {:?}", a);
println!("b after = {:?}", b);
println!("c after = {:?}", c);
}
利用 interior mutability 去搞掂我们的reference cycle
1
2
3
4
5
6
7
8
9
10
11
12
13
14
15
16
17
18
19
20
21
#[derive(Debug)]
enum List{
Cons(i32,RefCell<Rc<List>>),
Nil,
}
use List::{Cons,Nil};
use std::rc::Rc;
use std::cell::RefCell;
fn main(){
let a = Rc::new(Cons(3,RefCell::new(Rc::new(Nil))));
let b = Rc::new(Cons(1,RefCell::new(Rc::clone(&a))));
println!("{:?}",(*b));
if let Cons(ref _val, ref refer) = *a{
*refer.borrow_mut() = Rc::clone(&b);
}
println!("{:?}",*b);
}
太好了,看到了破坏效果,很满意

